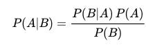
貝氏定理 Bayes’ Theorem
貝氏定理 Bayes’ Theorem是在有已知條件的情況下,事情發生的機率為多少的定理。
比如我們已經知道一間店面賺不賺錢,跟地理方面有關,那我們就可藉由貝氏定理 Bayes’ Theorem
推估營業額。
了解貝氏定理 Bayes’ Theorem後,我們就可以使用機器學習中的一個演算法-->貝氏分類器 Bayesian Classifier。
圖片網址:
https://miro.medium.com/max/422/1*vaYCtvTY4ttPrsN1vDfxQQ.jpeg