此文是《10週入門資料分析》系列的第9篇
想瞭解學習路線,可以先閱讀 學習計畫 | 10周入門資料分析
統計學是資料分析的基石。學了統計學,你會發現很多時候的分析並不靠譜。比如很多人都喜歡用平均數去分析一個事物的結果,但是這往往是粗糙的,不準確的。如果學了統計學,那麼我們就能以更多更科學的角度看待資料。
大部分的資料分析,都會用到統計方面的以下知識,可以重點學習:
基本的統計量:均值、中位數、眾數、方差、標準差、百分位數等
概率分佈:幾何分佈、二項分佈、泊松分佈、正態分佈等
總體和樣本:瞭解基本概念,抽樣的概念
置信區間與假設檢驗:如何進行驗證分析
相關性與回歸分析:一般資料分析的基本模型
通過基本的統計量,你可以進行更多元化的視覺化,以實現更加精細化的資料分析。這個時候也需要你去瞭解更多的Excel函數來實現基本的計算,或者python、R裡面一些對應的視覺化方法。
有了總體和樣本的概念,你就知道在面對大規模資料的時候,怎樣去進行抽樣分析。
你也可以應用假設檢驗的方法,對一些感性的假設做出更加精確地檢驗。
利用回歸分析的方法,你可以對未來的一些資料、缺失的資料做基本的預測。
瞭解統計學的原理之後,你不一定能夠通過工具實現,那麼你需要去對應的找網上找相關的實現方法,也可以看書。先推薦一本非常簡單的:吳喜之-《統計學·從資料到結論》。也可以看《商務與經濟統計》,結合業務能更容易理解。
另外,如何精力允許,請掌握一些主流演算法的原理,比如線性回歸、邏輯回歸、決策樹、神經網路、關聯分析、聚類、協同過濾、隨機森林。再深入一點,還可以掌握文本分析、深度學習、圖像識別等相關的演算法。關於這些演算法,不僅需要瞭解其原理,你最好可以流暢地闡述出來,還需要你知曉其在各行業的一些應用場景。如果現階段不是工作剛需,可不作為重點。
本文算是一個知識點匯總,不做細緻展開,讓大家瞭解統計學有哪幾大塊,每一類分別用於什麼樣的分析場景。後面幾篇會以實際案例的方式,細緻講講描述性統計、概率分佈等。
1.集中趨勢
2.變異性
3.歸一化
4.正態分佈
5.抽樣分佈
6.估計
7.假設檢驗
8.T檢驗
1.眾數
出現頻率最高的數;
2.中位數
把樣本值排序,分佈在最中間的值;
樣本總數為奇數時,中位數為第(n+1)/2個值;
樣本總數為偶數時,中位數是第n/2個,第(n/2)+1個值的平均數;
3.平均數
所有數的總和除以樣本數量;
現在大家接觸最多的概念應該是平均數,但有時候,平均數會因為某些極值的出現收到很大影響。舉個小例子,你們班有20人,大家收入差不多,19人都是5000左右,但是有1個同學創業成功了,年入1個億,這時候統計你們班同學收入的“平均數”就是500萬了,這也很好的解釋了,每年各地的平均收入資料出爐,小夥伴們直呼給祖國拖後腿了,那是因為大家收入被平均了,此時,“中位數”更能合理的反映真實的情況;
1.四分位數
上面說到了“中位數”,把樣本分成了2部分,再找個這2部分各自的“中位元數”,也就把樣本分為了4個部分,其中1/4處的值記為Q1,2/4處的值記為Q2,3/4處的值記為Q3
2.四分位距 IQR=Q3-Q1
3.異常值
小於Q1–1.5(IQR)或者大於Q3+1.5(IQR);
對於異常值,我們在資料處理的環節就要剔除;
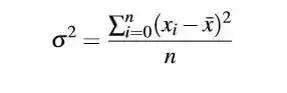
4.方差
5.平方偏差
方差的算術平方根
6.貝塞爾矯正:修正樣本方差
實際在計算方差時,分母要用n-1,而不是樣本數量n。原因在於,比如在高斯分佈中,我們抽取一部分的樣本,用樣本的方差表示滿足高斯分佈的大樣本資料集的方差。由於樣本主要是落在x=u中心值附近,那麼樣本如果用如下公式算方差,那麼預測方差一定小於大資料集的方差(因為高斯分佈的邊沿抽取的資料也很少)。為了能彌補這方面的缺陷,那麼我們把公式的n改為n-1,以此來提高方差的數值,這種方法叫貝塞爾矯正係數。
一個給定分數 距離 平均數 多少個標準差?
標準分數是一種可以看出某分數在分佈中相對位置的方法。
標準分數能夠真實的反映一個分數距離平均數的相對標準距離。
1.定義:隨機變數X服從一個數學期望為μ,方差為σ⊃2;的正態分佈,記為N(μ,σ⊃2;)
隨機取一個樣本,有68.3%的概率位於距離均值μ有1個標準差σ內;
有95.4%的概率位於距離均值μ有2個標準差σ內;
有99.7%的概率位於距離均值μ有3個標準差σ內;
1.中心極限定理
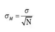
設從均值為μ,方差為σ⊃2;的任意一個總體中抽取樣本量為n的樣本,當n充分大時,樣本均值的抽樣分佈近似服從均值為μ、方差為σ⊃2;/n的正態分佈
2.抽樣分佈
設總體共有N個元素,從中隨機抽取一個容量為n的樣本,在重置抽樣時,共有N·n種抽法,即可以組成N·n不同的樣本,在不重複抽樣時,共有N·n個可能的樣本。每一個樣本都可以計算出一個均值,這些所有可能的抽樣均值形成的分佈就是樣本均值的分佈。但現實中不可能將所有的樣本都抽取出來,因此,樣本均值的概率分佈實際上是一種理論分佈。數理統計學的相關定理已經證明:在重置抽樣時,樣本均值的方差為總體方差的1/n。
舉個例子:
48盆MM豆,計算出每盆有幾個藍色的MM豆,48個資料構成了總體樣本。然後隨機選擇五盆,計算五盆中含有藍色MM豆的平均數,然後反復進行了50次。這就是n為5的樣本均值抽樣。
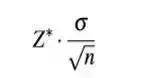
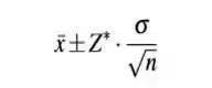
1、誤差界限
2. 置信度
We are some % sure the true population parameter falls within a specific range
我們有百分之多少確信總體中的值落在一個特定範圍內;
一般情況下,取95%的置信度就可以;
3. 置信區間

1.問題:什麼是顯著性水準?
顯著性水準是估計總體參數落在某一區間內,可能犯錯誤的概率,也就是Type I Error
A Type II Error is when you fail to reject the null when it is actually false.
2. 如何選擇備選核對總和零假設?
一個研究者想證明自己的研究結論是正確的,備擇假設的方向就要與想要證明其正確性的方向一致;
同時將研究者想收集證據證明其不正確的假設作為原假設H0



