前兩篇梯度下降法的求解都隱藏在一行程式碼 model.fit 中,這次使用自行開發實作梯度下降法,以瞭解內部求解的邏輯。
梯度下降法是利用正向傳導(Forward propagation)及反向傳導(Backpropagation)交互進行的方式。逐步逼近最佳解,如下圖:
圖一. 梯度下降法的權重求解過程
步驟如下:
# 設定學習率為0.1
model.compile(optimizer=optimizer=tf.keras.optimizers.Adam(0.1),
  loss='mse',
  metrics=['accuracy'])
# 設定執行週期為500
model.fit(c, f, epochs=500)
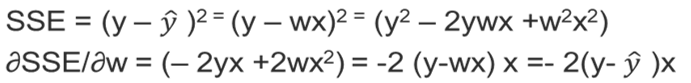
單一變數的變化率稱為斜率(Slope),多變數的變化率稱為梯度(Gradient),兩者都是一階導數,透過偏微分(Partial  derivative)求解,計算如下。
有幾點說明:
# 設定損失函數(loss)為多類別的交叉熵(Cross entropy)
model.compile(optimizer='adam',
  loss='sparse_categorical_crossentropy',
  metrics=['accuracy'])
範例. 簡單損失函數求最小值。
import numpy as np
import matplotlib.pyplot as plt
from matplotlib.font_manager import FontProperties
plt.rcParams['font.sans-serif'] = ['Microsoft JhengHei'] 
plt.rcParams['axes.unicode_minus'] = False
def func(x): return x ** 2
# 損失函數的一階導數:dy/dx=2*x
def dfunc(x): return 2 * x
def train(w_start, epochs, lr):    
    """ 梯度下降法
        :param w_start: x的起始點    
        :param epochs: 訓練週期    
        :param lr: 學習率    
        :return: x在每次反覆運算後的位置(包括起始點),長度為epochs+1    
     """    
    w_list = np.zeros(epochs+1)    
    w = w_start    
    w_list[0] = w  
    # 執行N個訓練週期
    for i in range(epochs):         
        # 權重的更新W_new
        # W_new = W — learning_rate * gradient        
        w -=  dfunc(w) * lr         
        w_list[i+1] = w    
    return w_list
w_start = -5 # 權重初始值
epochs = 150 # 訓練週期數
lr = 0.1     # 學習率
w = train(w_start, epochs, lr=lr) 
print (f'w:{np.around(w, 2)}')
color = 'r'    
t = np.arange(-6.0, 6.0, 0.01)
plt.plot(t, func(t), c='b')
plt.plot(w_list, func(w_list), c=color, label='lr={}'.format(lr))    
plt.scatter(w_list, func(w_list), c=color) 
# 繪圖箭頭,顯示權重更新方向
plt.quiver(w_list[0]-0.2, func(w_list[0]), w_list[4]-w_list[0], 
    func(w_list[4])-func(w_list[0]), color='g', scale_units='xy', scale=5)
# 繪圖標題設定
font = {'family': 'Microsoft JhengHei', 'weight': 'normal', 'size': 20}
plt.title('梯度下降法', fontproperties=font)
plt.xlabel('w', fontsize=20)
plt.ylabel('Loss', fontsize=20)
plt.show()    
完整程式碼如下,可另存為 05_函數的梯度下降.py。
# 載入套件
import numpy as np
import matplotlib.pyplot as plt
from matplotlib.font_manager import FontProperties
# 修正中文亂碼
plt.rcParams['font.sans-serif'] = ['Microsoft JhengHei'] 
plt.rcParams['axes.unicode_minus'] = False
# 損失函數為 y=x^2
def func(x): return x ** 2
# 損失函數的一階導數:dy/dx=2*x
def dfunc(x): return 2 * x
def train(w_start, epochs, lr):    
    """ 梯度下降法
        :param w_start: x的起始點    
        :param epochs: 訓練週期    
        :param lr: 學習率    
        :return: x在每次反覆運算後的位置(包括起始點),長度為epochs+1    
     """    
    w_list = np.zeros(epochs+1)    
    w = w_start    
    w_list[0] = w  
    # 執行N個訓練週期
    for i in range(epochs):         
        # 權重的更新W_new
        # W_new = W — learning_rate * gradient        
        w -=  dfunc(w) * lr         
        w_list[i+1] = w    
    return w_list
# 模型訓練:呼叫梯度下降法 
w_start = -5 # 權重初始值
epochs = 150 # 訓練週期數
lr = 0.1     # 學習率
w_list = train(w_start, epochs, lr=lr) 
print (f'w:{np.around(w_list, 2)}')
# 繪圖觀察權重更新過程
color = 'r'    
t = np.arange(-6.0, 6.0, 0.01)
plt.plot(t, func(t), c='b')
plt.plot(w_list, func(w_list), c=color, label='lr={}'.format(lr))    
plt.scatter(w_list, func(w_list), c=color) 
# 繪圖箭頭,顯示權重更新方向
plt.quiver(w_list[0]-0.2, func(w_list[0]), w_list[4]-w_list[0], 
    func(w_list[4])-func(w_list[0]), color='g', scale_units='xy', scale=5)
# 繪圖標題設定
font = {'family': 'Microsoft JhengHei', 'weight': 'normal', 'size': 20}
plt.title('梯度下降法', fontproperties=font)
plt.xlabel('w', fontsize=20)
plt.ylabel('Loss', fontsize=20)
plt.show()
執行32個訓練週期,權重(w)就不再更新了,維持在0。
觀察下圖綠色箭頭,起始權重(w)設定為-5,逐步更新往函數最小值前進。
修改權重初始值(w)設定為5或任意值,再重新執行,最後權重(w)仍為0,逐步更新往函數最小值前進。
w_start = 5 # 權重初始值

lr = 0.001     # 學習率

epochs = 15000 # 訓練週期數
lr = 0.001     # 學習率

以上使用很簡單的函數y=x²為例,自行開發梯度下降法找到最佳解,如果是線性迴歸y=wx+b,要如何處理呢? 又如果有多個特徵,即多元線性迴歸,梯度更新要如何處理呢? 要使用自動微分(Automatic Differentiation),如何修改呢? 下一篇將詳細說明作法。
Happy coding !!
徹底理解神經網路的核心 -- 梯度下降法 (1)
徹底理解神經網路的核心 -- 梯度下降法 (2)
徹底理解神經網路的核心 -- 梯度下降法 (3)
徹底理解神經網路的核心 -- 梯度下降法 (4)
徹底理解神經網路的核心 -- 梯度下降法的應用 (5)
梯度下降法(6) -- 學習率動態調整
梯度下降法(7) -- 優化器(Optimizer)
梯度下降法(8) -- Activation Function
梯度下降法(9) -- 損失函數
梯度下降法(10) -- 總結